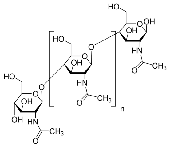
几丁质对于饲养爬宠具有重要意义,因为它可以为爬宠提供营养。同时,几丁质也能补充细胞壁和细胞膜所需的脂肪。爬宠需要摄入大量的几丁质,因为他们在吸收和消化食物(包括碳水化合物、脂肪和蛋白质)过程中需要更多的脂肪。 此外,几丁质的摄入也可以帮助爬宠维持健康的皮毛和鳞片。它们不仅提供营养,还补充细胞膜中所需的脂肪,帮助爬宠的皮毛和鳞片保持健康的光泽和弹性。 总之,几丁质对于爬宠的健康必不可少,它不仅可以满足爬宠营养上的需求,而且还可以帮助爬宠保持健康的鳞片及皮肤。 ×用微信扫描并分享 分类: 健康和疾病 Tags: 几丁质几丁质的意义意义昆虫爬宠食物 Jam Sheng ReptileStar站长、爬行动物爱好者